Introduction:
Anemia is a cardinal feature of myelofibrosis (MF), along with splenomegaly and constitutional symptoms. Red blood cell (RBC) transfusions, often used to manage anemia in patients (pts) with MF, are a negative prognostic factor for overall survival and are associated with diminished quality of life and increased healthcare-related economic burden.
Momelotinib (MMB), a Janus kinase (JAK) 1/JAK2/activin A receptor type 1 inhibitor, has demonstrated clinically meaningful and durable improvements in anemia, splenomegaly, and symptoms. Prespecified anemia endpoints in MMB phase 3 studies prioritized achievement of a strict transfusion independence response, defined as no transfusions for ≥12 wk immediately before the end of wk 24, with all hemoglobin levels ≥8 g/dL. Longitudinal analysis of transfusion intensity (units per 28 days) in a phase 2 trial of MMB in pts with transfusion-dependent MF demonstrated a reduction in transfusion burden in most (85%) pts (Harrison C, et al. EHA 2023). Here, we further characterize the impact of MMB and comparators on transfusion burden in pts with JAK inhibitor-naive and -experienced MF from the phase 3 SIMPLIFY-1 and MOMENTUM trials.
Methods:
This analysis evaluated time-dependent transfusion burden in pts enrolled in the phase 3 SIMPLIFY-1 (NCT01969838) and MOMENTUM (NCT04173494) trials. SIMPLIFY-1 included pts with JAK inhibitor-naive MF randomized (1:1) to receive MMB or ruxolitinib (RUX). In MOMENTUM, pts with symptomatic (Myelofibrosis Symptom Assessment Form Total Symptom Score ≥10), anemic (hemoglobin <10 g/dL), JAK inhibitor-experienced MF were randomized (2:1) to receive MMB or danazol (DAN). All RBC units transfused were collected during the 24-wk randomized treatment period of each study and during the 84 days before receipt of randomized treatment on study for baseline assessment. Time-dependent transfusion burden was quantified by number of RBC units administered, in a tabular display of baseline- and treatment-period intensity. Pts were grouped jointly based on the baseline- and treatment-period intensity of RBC units per 28 days into ordinal bins: exactly zero units, >0 to 1 unit, >1 to 2 units, >2 to 3 units, >3 to 4 units, and >4 units.
Results:
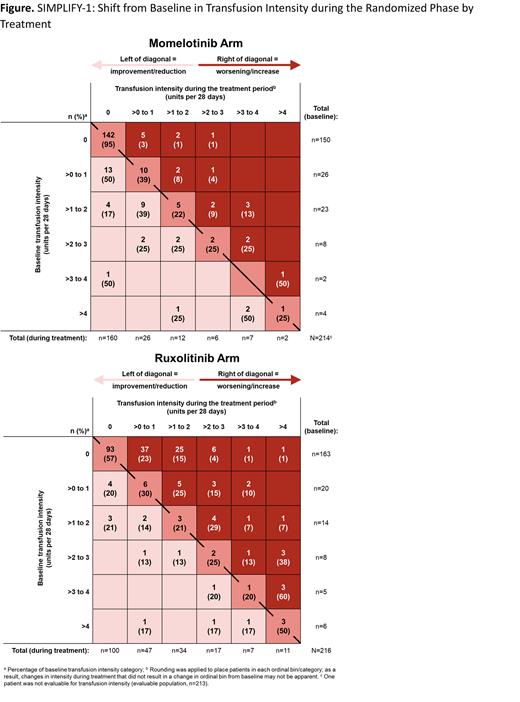
In SIMPLIFY-1 (JAK inhibitor-naive pts), 150 of 213 evaluable pts (70%) in the MMB arm and 163 of 216 evaluable pts (76%) in the RUX arm required zero units of RBC transfusion per 28 days at baseline. Of pts who required zero units of transfusion at baseline, a higher proportion in the MMB arm (142 of 150 [95%]) maintained a requirement of zero RBC transfusions during randomized treatment of 24 wks vs the RUX arm (93 of 163 [57%]). Overall, the mean RBC transfusion burden per 28 days declined 0.10 units (SD, 0.701) from baseline to randomized treatment in the MMB arm and increased 0.39 units (SD, 1.016) in the RUX arm. Using ordinal bins, 87% of pts in the MMB arm maintained (144 [67.6%]) or improved (41 [19.2%]) RBC transfusion intensity during randomized treatment compared with baseline vs 54% in the RUX arm (maintained, 94 [43.5%]; improved, 23 [10.6%]) (Figure).
In MOMENTUM (JAK inhibitor-experienced pts), most pts had some transfusion requirement at baseline, with 26 of 130 (20%) in the MMB arm and 11 of 65 (17%) in the DAN arm requiring zero units of RBC transfusion per 28 days. During randomized treatment, a higher proportion of pts in the MMB arm (46 of 130 [35%]) required zero units of RBC transfusion vs the DAN arm (11 of 65 [17%]), including a higher proportion of those who had zero RBC transfusion requirement at baseline who maintained zero RBC transfusion requirement during randomized treatment (MMB, 92%; DAN, 64%). The mean RBC transfusion burden per 28 days declined 0.86 units (SD, 1.748) from baseline to randomized treatment in the MMB arm and declined 0.28 units (SD, 1.584) in the DAN arm. Using ordinal bins, 85% of pts in the MMB arm maintained (25 [19.2%]) or improved (85 [65.4%]) RBC transfusion intensity compared with baseline vs 63% in the DAN arm (maintained, 7 [10.8%]; improved, 34 [52.3%]).
Conclusions:
These data demonstrate that MMB was associated with better maintenance of RBC transfusion intensity and zero RBC transfusion status vs RUX in pts with MF who were JAK inhibitor naive and showed greater reduction in RBC transfusion burden from baseline vs DAN in pts with MF who were JAK inhibitor experienced. Across both trials, ≥85% of pts treated with MMB maintained or improved transfusion intensity.
Disclosures
Mesa:Mays Cancer Center: Research Funding; NCI: Research Funding; Constellation: Consultancy, Research Funding; LaJolla Pharma: Consultancy; Celgene: Research Funding; Sierra Onc: Consultancy; Novartis: Consultancy; Incyte: Research Funding; CTI BioPharma., a Sobi Company: Research Funding; Samus: Research Funding; Abbvie: Research Funding; Genetech: Research Funding; Promedior: Research Funding. Fox:GSK: Consultancy; Abbvie: Consultancy, Other: Support for attending meetings and/or travel; Novartis: Consultancy, Honoraria; BMS: Honoraria; Sierra Oncology: Consultancy. McLornan:UK ALL RIC TRIAL - DSM board: Other: participation on a data safety monitoring board or advisory board; Novartis: Honoraria; EBMT Scientific Council Member: Other: Chair of EBMT CMWP; Jazz Pharma: Honoraria; Abbvie: Honoraria; Imago Biosciences: Research Funding. Palmer:morphosys: Consultancy, Other: Money went to institution; Incyte: Consultancy, Other: Money went to the institution; Jubliant: Consultancy; Sierra Oncology: Consultancy, Other: Money went to Institution; CTI BioPharma Corp.: Consultancy, Honoraria, Other: Money went to institution. Foltz:Incyte: Consultancy, Research Funding; PharmaEssentia: Research Funding; GSK: Consultancy, Research Funding; Amgen: Other: Spouse is an employee and holds equity and stock options. ; CTI Biopharma: Research Funding; BMS: Honoraria, Research Funding; Constellation: Research Funding; Novartis: Consultancy, Honoraria. Vannucchi:Abbvie: Honoraria; GSK: Honoraria; BMS: Honoraria; Roche: Honoraria; AOP: Honoraria; Novartis: Honoraria; Incyte: Honoraria. Koschmieder:Protagonist: Consultancy, Honoraria, Membership on an entity's Board of Directors or advisory committees, Other: travel/accommodation support; Pfizer, Incyte, Ariad, Novartis, AOP Pharma, BMS, Celgene, Geron, Janssen, CTI BioPharma, Roche, Bayer, GSK, Sierra Oncology, AbbVie, Protagonist, PharmaEssentia: Other: Advisory board; Alexion, Novartis, Bristol Myers Squibb, Incyte, AOP Pharma, CTI BioPharma, Pfizer, Celgene, Janssen, Geron, Roche, AbbVie, GSK, Sierra Oncology, Kartos, Imago Biosciences, MSD, iOMEDICO: Other: Travel/accommodation support; BMS/Celgene: Consultancy, Honoraria, Membership on an entity's Board of Directors or advisory committees, Other: travel/accommodation support; RWTH Aachen University: Patents & Royalties: BET inhibitor; Roche: Consultancy, Honoraria, Membership on an entity's Board of Directors or advisory committees, Other: travel/accommodation support; PharmaEssentia: Consultancy, Honoraria, Membership on an entity's Board of Directors or advisory committees; AbbVie: Consultancy, Honoraria, Membership on an entity's Board of Directors or advisory committees, Other: travel/accommodation support; RWTH Aachen University: Patents & Royalties: patent issued for a BET inhibitor; Bayer: Consultancy, Honoraria, Membership on an entity's Board of Directors or advisory committees; GSK: Membership on an entity's Board of Directors or advisory committees, Other: travel/accommodation support; Sierra Oncology: Consultancy, Honoraria, Membership on an entity's Board of Directors or advisory committees, Other: travel/accommodation support; Karthos: Consultancy, Honoraria, Membership on an entity's Board of Directors or advisory committees, Other: travel/accommodation support; Imago Bioscience: Consultancy, Honoraria, Membership on an entity's Board of Directors or advisory committees; Geron, Janssen, AOP Pharma, Novartis: Research Funding; Pfizer, Incyte, Ariad, Novartis, AOP Pharma, Bristol Myers Squibb, Celgene, Geron, Janssen, CTI BioPharma, Roche, Bayer, GSK, Protagonist, MPN Hub, Bedrock, PharmaEssentia: Consultancy; Novartis, BMS/Celgene, Pfizer, Incyte, AOP Orphan, GSK, AbbVie, MPN Hub, Bedrock, iOMEDICO: Honoraria; CTI Biopharma: Consultancy, Honoraria, Membership on an entity's Board of Directors or advisory committees, Other: travel/accommodation support; Bristol Meyers Squibb: Consultancy, Honoraria, Membership on an entity's Board of Directors or advisory committees, Other: travel/accommodation support; Squibb: Consultancy, Honoraria; Ariad: Consultancy, Honoraria, Membership on an entity's Board of Directors or advisory committees; Janssen: Consultancy, Honoraria, Membership on an entity's Board of Directors or advisory committees, Other: travel/accommodation support, Research Funding; Incyte: Consultancy, Honoraria, Membership on an entity's Board of Directors or advisory committees, Other: travel/accommodation support; Novartis: Consultancy, Honoraria, Membership on an entity's Board of Directors or advisory committees, Other: travel/accommodation support, Research Funding; Pfizer: Consultancy, Honoraria, Membership on an entity's Board of Directors or advisory committees, Other: travel/accommodation support; AOP Pharma: Consultancy, Honoraria, Membership on an entity's Board of Directors or advisory committees, Other: travel/accommodation support, Research Funding; Geron: Consultancy, Honoraria, Membership on an entity's Board of Directors or advisory committees, Other: travel/accommodation support, Research Funding. Passamonti:AbbVie, AOP Orphan, Bristol-Myers Squibb/Celgene, Novartis, Roche: Consultancy, Honoraria; AbbVie, AOP Orphan, Celgene, Bristol Myers Squibb, Janssen, Kartos, Karypoharma, Kyowa Kirin, MEI, Novartis, Roche, Sierra Oncology, Sumitomo: Consultancy. Kawashima:Sierra Oncology: Current Employment, Other: stock or stock options. Strouse:GSK: Current Employment. Carreras:GSK: Current Employment. Oh:CTI BioPharma, Bristol Myers Squibb, Disc Medicine, Blueprint Medicines, PharmaEssentia, Constellation/MorphoSys, Geron, AbbVie, Sierra Oncology/GSK, Cogent, Incyte, Morphic, Protagonist: Consultancy.
